团队负责人及其成员
负责人:闫江
成员:张静、魏淑华、张旭芳、杨兵、鞠家欣、王艳蓉
团队基本情况
团队目前有成员12人,包括教授3人,副教授及高级工程师5人,讲师4人,其中获北京市高层次人才计划1人。
团队紧紧围绕集成电路领域新型器件及微纳电子器件的研发需求展开深入的理论与应用研究,建设了完整的4寸工艺平台和先进的中测和封装平台。
团队致力于为我国集成电路产业培养高级人才。近年来毕业硕士36人。毕业生工作岗位遍布国内各大芯片设计、制造、封装等企业及科研院所。
团队负责人及成员主持科技部重大专项、国家自然科学基金、北京市重点基金等纵向课题10余项,发表学术论文300余篇,授权专利或集成电路布图版权等50余项。
团队育人模式特色
经过近20年建设,微电子专业秉承“产学研协同育人、学生分类培养”的理念,建立“实培项目(科教融合)-校内/国内竞赛-企业实习基地建设(产教融合)”贯通的创新实践模式,促进学生创新实践能力培养,打造以产业需求为核心的课程体系,形成服务集成电路产业发展的人才培养模式。
团队科研成果
1 集成电路制造关键工艺技术研究
成果简介
1.1 工艺仿真技术
对集成电路先进制造流程中的光刻、刻蚀、沉积等工艺建立了掩模缺陷检查与补偿模型、开发了混合等离子刻蚀模型、以及原子层沉积模型等。在掩模缺陷检查与补偿方面,建立了以CD误差为表现形式的缺陷数据库;在等离子刻蚀模型方面,采用等离子体化学蒙特卡罗模型,对入射离子和中性粒子的通量和入射离子能量角度分布分别进行研究,采用蒙特卡罗特征表面模型,研究了刻蚀中凹槽表面发生的各类化学反应及其反应概率;在原子层沉积模型方面,利用前驱体分布模块、表面反应耦合模块完成了关键变量的计算与传递。利用生长模块完成表面轮廓演化,利用模型对平面生长进行模拟,得到与实际误差极小的生长速率,创新建立了倾角侧壁孔的剖面沉积模型。基于蒙特卡罗特征表面模型、等离子体化学蒙特卡罗模型和连续元胞模型,完成等离子刻蚀工艺的建模仿真,模型的预测结果同实验结果的一致性较高;可实现对ALD工艺在平面、孔型结构、多孔结构中沉积的模拟仿真,与实际结果一致性较高。
典型应用
团队开发建立了刻蚀模型、沉积模型,为集成电路的半导体工艺开发提供指导性工具支撑,具备降低研发成本、缩短研发周期的潜力。

1.2 微纳结构的制备与应用研究
成果简介
①揭示极小尺度高深宽比纳米结构可靠成形的力学机理;
② 研究电化学沉积方法中反向电流参数对结构成型的影响;
③ 制备出高性能的高深宽比结构,并开展应用研究。
④研究基于模板自组装微纳加工工艺的关键参数影响;
⑤制备出表面增强拉曼散射(SERS)基底,并开展痕量检测应用。
基于自组装技术晶圆级PS紧密排列单层膜掩模版的制备,使用微电子图形化转移技术,制备了硅纳米柱微纳结构,利用磁控溅射技术进行贵金属纳米粒子沉积制备硅纳米柱表面增强拉曼散射(SERS)基底。由于增强热点可作用区域表面积小,待测分子增强热点处状态对SERS增强具有影响。基于自组装技术大面积周期超小尺寸硅纳米柱结构的可控制备;基于微电子技术及化学自组装技术,高性能硅纳米柱SERS基底制备;基于SERS基底增强热点处表面浸润性调制实现了SERS增强检测。
典型应用
本研究可实现农残检测、染料分子等环境、健康安全领域的痕量检测,以及中医药成分的鉴定分析检测。


(a)自组装技术掩膜版制备,(b)图形化转移硅纳米柱结构制备,(c)磁控溅射贵金属纳米粒子沉积SERS基底制备,(d)R6G测试,(e)硅纳米柱SERS基底NDM不同修饰时长后MG增强性能测试,(f)最优修饰后MG性能测试。
1.3 先进集成电路制程中的互连介质层制备技术
本团队对集成电路先进制造工艺中的互连工艺开展研究,开发了制备具有低介电常数的互连介质薄膜工艺,并基于该薄膜结构开展了发光材料研究、忆阻器件、传感检测等多方面的应用研究。采用溶胶-凝胶技术和旋涂工艺分别采用BTMSE/MTMS和TEOS/MTEOS制备出两大类基于表面活性剂模板的OSG低k薄膜;通过有机合成制备了苯桥连有机硅烷前体,得到三乙氧基甲硅烷基苯,通过通过旋涂和蒸发诱导自组装工艺基于基于表面活性剂模板制备出了苯基OSG薄膜,该薄膜结构在具有较低介电常数的基础上保障了较好的机械性能;探索了基于多孔结构薄膜进行的发光、检测等领域的应用,进一步拓展了该薄膜制备技术的应用领域。

典型应用
本团队开展的先进集成电路制程中的互连介质层制备技术将为先进制程中的关键互连工艺提供了一定的技术指导,可在小尺寸器件的制备工艺中得到较好的应用,同时其多孔特性也可支撑该薄膜在发光、生物检测、忆阻器等多领域进行相关应用。
2 功率半导体SiC/金刚石电力电子器件技术研发
2.1 SiC MOS器件的可靠性研究
Ti/Al/4H-SiC MOSFET欧姆接触电极研究;SiC MOS器件SiC/SiO2界面反应机理研究;4H-SiC MOS 器件栅氧化层时变击穿特性研究;刻蚀对SiC MOS 界面特性的影响机理研究。
解决问题:如何降低界面态密度;提升SiC MOS器件可靠性。
依托国家重大专项:《SiC电力电子器件集成制造技术研发及产业化》,完成了SiC功率半导体器件可靠性、界面态的研究。

2.2 金刚石MOSFET器件关键技术研究
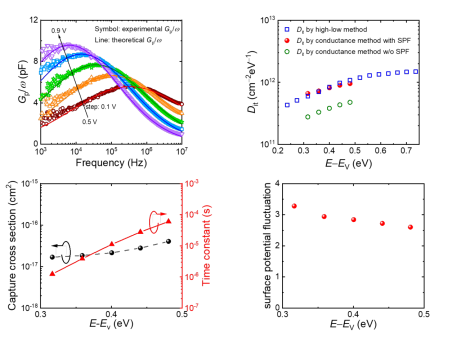
团队提出对H终端进行水蒸汽氛围退火形成OH终端金刚石(无二维空穴导电层形成)来制备MOS电容,将界面态密度降低至1012cm−2eV−1量级(如图2所示),且首次采用高温高低频法表征了界面陷阱随能级位置的变化;并且进一步使用电导法,首次考虑缺陷具有连续能级以及界面电荷不均一造成的表面势波动这些因素,对界面陷阱进行了定量分析:通过表面势波动随能级位置的变化判断出界面陷阱的类型(施主型),提取了界面陷阱捕获横截面积(如图3所示),对界面态起源进行了科学猜想。基于该OH终端形成技术我们制备了反型p沟道MOSFET,迁移率较之前有所提升,可达50 cm2V−1s−1,但仍不能满足需求,亟待大幅提高。

典型应用:金刚石材料的生长及器件制备平台的开发、实现金刚石MOS器件的产业化。
3 MEMS生物化学传感器技术应用
3.1 高灵敏硅纳米线生物传感器
成果简介
超灵敏硅纳米线生物传感器具有调制阈值电压和超小直径等优势,硅纳米线表面特异性结合带电的生物标志物,导致硅纳米线内部电导的改变,从而实现生物标志物的检测。通过调制阈值电压,改变传感器工作状态,使其在亚阈值区进行高灵敏度检测。团队通过侧墙转移技术制备了较小直径的硅纳米线阵列,且通过带有支撑结构的硅纳米线和源漏金属硅化物电极有效地降低生物传感器的寄生电阻,并且通过设计微流道有效减小了外界环境对检测造成的影响。
典型应用

典型应用

本硅纳米线生物传感器的主要创新点如下:以病毒自身结构蛋白为靶标,结合抗体,保证检测准确性和高特异;以高灵敏电化学芯片为传感器,提高检测灵敏度和响应速度;以5G技术为检测载体,实现检测数据的智能化追踪与分析,为疫情研判提供技术保障。该传感器在中科院微电子所制备,使用与CMOS工艺兼容的工艺制备,适合大规模生产。
适用于临床生物标志物的检测,对疾病的早期发现和治疗非常有意义,典型应用如下:肾标志物CysC(胱抑素C)的高灵敏度定量检测;CAR-T 和癌症细胞作用信号检测;检测COVID-19病毒N蛋白的研究。
3.2 基于叉指电极的电化学传感器
叉指微型电化学传感器是必赢线路检测3003no1自主研制的一款化学稳定型传感器。研究团队通过分析叉指电极的等效电路,优化其结构的设计,并引入脉冲电化学沉积方法优化制备工艺,提高了传感器的检测灵敏度;并且针对被测物特点进行前处理,对叉指电极完成特定修饰提高其选择性,实现了对不同被测物的高精度可重复性检测。从分析叉指电极的等效电路入手,对叉指电极的结构进行了优化设计,增强了电极的信号灵敏度;利用脉冲电化学沉积技术优化了叉指电极的制备工艺,通过控制脉冲电化学沉积的条件分别制备出单晶、多晶金电极;利用脉冲电化学沉积技术优化了叉指电极的制备工艺,通过控制脉冲电化学沉积的条件分别制备出单晶、多晶金电极。

典型应用
叉指阵列微电极电化学传感器具有结构简单、稳定性高、能快速建立稳定的信号输出、可微型化便于携带、高信噪比、阻抗可降低等优点。典型应用如下:
1、环境重金属监测,如对铜离子的检测;
2、食源性病原体感染源检测,如对沙门氏菌的检测。